의료 감수: 박석민 한의사 (대표원장)
쇼그렌증후군 호르몬 변화
👨⚕️목차
쇼그렌 증후군
쇼그렌증후군 호르몬 변화
・
인천 송도 신도시 이레 한의원입니다.
쇼그렌증후군은 여성에게 훨씬 높은 비율로 발병하기 때문에
성 호르몬이 질병 발생 단계에서 중요한 작용을 한다고 추정되고 있습니다.

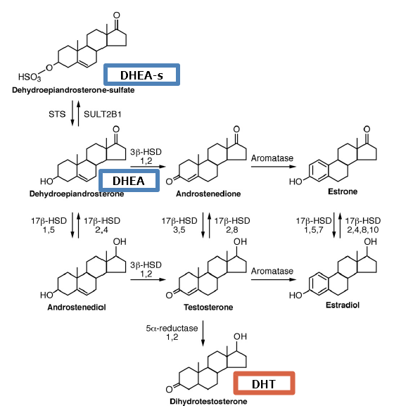
쇼그렌증후군 환자의 침샘 분비세포 재생에 관여하는 호르몬 중 DHT가 있습니다.
부신에서 생성되는 DHEA-s는 여러 단계의 대사과정을 거치게 되는데
중간 대사물인 Testosterone로 전환되었다가 최종적으로 DHT로 변환됩니다.

위 그림에서 DHEA-s는 DHEA로 전환이 되고
DHEA는 두 가지 경로를 통해서 Testosterone으로 전환 되고
이 과정의 일부분은 가역적입니다.

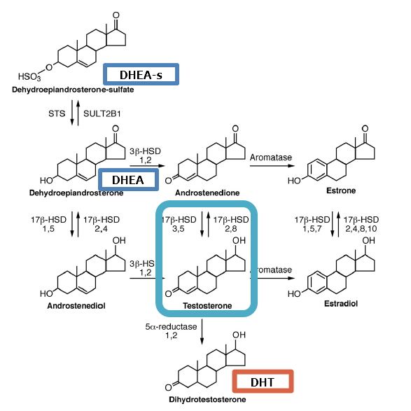
쇼그렌증후군 등의 자가면역질환이 발생하면
T cell에서 분비되는 TNF-a, IL-1, IL-6 등의 사이토카인이 많아지게 되고
이 물질은 다양한 장소에서 염증을 만들거나 대사에 영향을 주게 됩니다.
이 물질은
- DHEA-s 가 DHEA로 전환되는 단계를 억제하여 DHT의 원재료의 생성이 줄어들게 하고
- Aromatase를 활성화시켜 DHT의 전구물질이 Estradiol로 전환되는 량을 늘리게 됩니다.
결과적으로 쇼그렌증후군 환자의 DHT의 생성량이 줄어들게 됩니다.

남성 쇼그렌증후군 환자들에게도 이러한 과정은 동일하게 일어나지만,
남성은 DHT의 전구물질인 Testosterone이 따로 분비되기 때문에
자가면역성 염증으로 호르몬 대사과정에 이상이 발생하여도
DHT 생성량의 감소의 영향을 여성에 비해서 덜 받게 됩니다.
몇몇 연구에 의하면
(SATO, E.H. & D.A. SULLIVAN. 1994. Comparative influence of steroid hormones and immunosuppressive agents on autoimmune expression in lacrimal glands of a female mouse model of Sjogren’s syndrome. Invest. Ophthalmol. Vis. Sci. 35: 2632–2642.
LAINE, M. et al. 2004. Segment-specific but pathologic laminin isoform profiles in human labial salivary glands of patients with Sj¨ogren’s syndrome. Arthritis Rheum. 50: 3968–3973)
쇼그렌증후군 환자의 혈중 DHEA 농도는 동일한 연령대의 일반인에 비해서 낮아져 있으며
동물 실험에서 androgen을 보충해주면 침샘의 염증이 감소함을 확인하기도 하였습니다.
한의학 치료는 쇼그렌증후군 환자의 낮아진 호르몬 수치를 높이는데 도움이 될 수 있을까요?

보음보기활혈하는 한약이 쇼그렌증후군 환자의 호르몬 상태를 변화시킬 수 있는지 확인해본 연구가 있었습니다.
70명의 쇼그렌증후군 환자를 두 그룹으로 나눈 뒤
치료군 36명은 할록신과 보음보기활혈하는 한약을 복용하고
대조군 34명은 할록신만 복용하면서 호르몬 수치가 변하는지 확인하였습니다.
일반인 30명을 정상 군으로 하여 호르몬 수치의 정상치로 참고하였습니다
한약과 할록신의 병행치료가 testosterone 의 농도를 정상화시키는데 좀 더 효과적이었다는 사실을 확인할 수 있었습니다.
인천 연수구 송도 신도시 이레 한의원은 쇼그렌증후군 베체트병 강직성척추염 루푸스 등의 자가면역질환을 주로 다루고 있습니다.
쓰기
자주 묻는 질문
Q1. 쇼그렌증후군이 여성에게 훨씬 많은 이유는 무엇인가요?
A1. 여성 호르몬(에스트로겐)이 면역계를 활성화시키는 방향으로 작용하고, X염색체에 면역 관련 유전자가 다수 존재하기 때문입니다. 또한 갱년기에 에스트로겐이 급격히 감소하면서 침샘과 눈물샘의 보호 기능이 약화되어 발병이 촉진됩니다.
Q2. 호르몬 변화가 쇼그렌증후군 증상에 영향을 주나요?
A2. 네. DHEA, DHT 같은 안드로겐 호르몬은 침샘 분비세포의 재생에 관여합니다. 쇼그렌증후군 환자에서는 이 호르몬 수치가 낮은 경우가 많으며, 갱년기 호르몬 변화가 건조 증상과 피로감을 악화시킬 수 있습니다. 생리 주기에 따라 증상이 변동하는 분도 있습니다.
Q3. 호르몬 보충이 쇼그렌증후군에 도움이 되나요?
A3. DHEA 보충이 침 분비와 안구건조 개선에 도움이 될 수 있다는 초기 연구가 있으나, 대규모 임상 근거는 아직 부족합니다. 에스트로겐 대체요법(HRT)은 오히려 안구건조를 악화시킬 수 있어 주의가 필요합니다. 한약 치료로 호르몬 균형을 자연스럽게 회복시키는 접근이 안전한 대안이 될 수 있습니다.