블로그/칼럼 쇼그렌증후군
류마티스 관절염 한약의 치료 효과는 어떻게
블로그

의료 감수: 박석민 한의사 (대표원장)

류마티스 관절염 한약의 치료 효과는 어떻게

👨‍⚕️
의료 감수 이레한의원 원장

인천 연수구 송도 신도시 이레 한의원입니다.

최근 저희 한의원에서 류마티스관절염과 쇼그렌증후군 치료를 받고 계신 70대 여성분이 계십니다.

류마티스 관절염은 50대에 진단이 되었으며

진단 초기에는 MTX(항암제), 소론도(스테로이드)를 계속 복용하시다가

중간에 MTX로 인한 폐질환이 발생하여 이 약은 중단하였습니다.

소론도를 10년 이상 복용하시다 보니 위염 식도염 약인성 당뇨 골다공증 근감소 불면증 등의 부작용으로 힘들어하셨지만 이 약을 끊고 나면 통증이 심하셔서 어쩔 수 없이 드시고 있던 와중에 저희 한의원을 방문해주셨습니다.

치료 과정에서 기복은 있었지만, 한의학 치료 1년 정도 경과한 지금은

큰 불편함 없이 비교적 잘 지내고 계시는 중입니다.

류마티스 관절염 치료를 위한 한약은 어떤 효과를 기대하면서 사용하게 되는지알아보겠습니다.

이미지 1

과거 저자들의 다른 연구에서 한약이 무릎 골관절염 치료에 대한 개선 효과 확인하였는데요

(참고 : Kang, X. Z., Q. F. Wu, and H. Y. Jie. "Clinical study on the treatment of knee osteoarthritis by Wangbi tablet." Chinese journal of integrated traditional and Western medicine 31.9 (2011): 1205-1208.)

이번 연구에서는 어떤 기전을 통해 그 치료 효과가 나타나는지를 확인해보았습니다.

RA는 자가면역성 염증으로 인하여 파골세포 활성 증가, 조골세포 활성 감소가 발생하여뼈의 손상과 구조 변화가 일어나는 질환

류마티스 관절염은 전신성 자가면역질환으로

관절통 관절 부종 관절이 경직이 주된 증상이지만

관절 주위와 연골하골의 점진적인 미란(erosion)이 발생하여

관절의 모양이 변형되고 그 기능이 점차 상실되는 질환입니다.

이러한 구조의 변화는

자가항체(주로 anti-ccp antibodies), 전 염증성 사이토카인(IL-1b, TNF-a, IL-17) 그리고 RANKL 자극 등이

파골세포(osteoclast)의 생성을 촉진한 결과로 나타나게 됩니다.

다른 한편에서는 뼈를 생성하는 조골세포(osteoblast)의 분화가 억제되어

뼈의 항상성이 무너지게 되고 이로 인한 골감소가 진행하여 구조의 이상이 지속될 수 있습니다.

(참고 : Schett, Georg, and Ellen Gravallese. "Bone erosion in rheumatoid arthritis: mechanisms, diagnosis and treatment." Nature Reviews Rheumatology 8.11 (2012): 656.)

따라서 류마티스 관절염 치료 시에는 염증과 통증에 대한 조절 이외에도 조골세포 파골세포의 균형을 맞춰줘 관절과 연골의 손상 파괴를 억제할 수 있는 치료가 반드시 필요합니다.

이 논문은 자가면역성 염증, 조골세포 파골세포의 균형 상실, 연골과 뼈의 손상으로 이어지는 일련의 과정에

한약이 어떤 단계에 치료적 도움을 줄 수 있는지 확인한 연구입니다.

관절염의 개선 ; 한약은 관절염을 완화시킬 수 있다.

  1. Arthritic Score

이미지 2

부종 발적 등의 관절염으로 인한 증상을 점수로 환산한 지수로

맨 위 붉은색이 류마티스 관절염 치료하지 않은 그룹의 점수 변화이고, 꾸준히 높아진 상태에서 유지되고 있음을 볼 수 있습니다.

아래 파란색과 노란색은 WBH, WBL로 WB라는 한약의 고농도와 저농도를 나타내며

시간이 지나도 증상이 심해지는 정도가 붉은색에 비해서는 완만하게 증가하다 3주 차가 되면서 증상이 안정이 되고 있는 모습을 보여줍니다. 그 효과는 고농도였을 때가 좀 더 좋았으며 맨 아래 녹색의 TGP도 역시 류마티스 관절염에 사용되는 한약입니다. 증상의 개선 효과는 WB보다는 TGP가 오히려 더 좋았네요

  1. Histological Score는 HE 염색 조직 검사 소견으로 면역세포의 침윤을 확인해볼 수 있습니다. TGP의 개선 효과가 현저하게 좋았고, WBL, WBH도 의미 있는 개선이 있었습니다.

  2. CT score는 CT 검사상 관절의 변형과 염증의 정도를 수치화 한 것인데요, 역시 한약 치료군들에서 의미 있는 변화가 관찰되었습니다.

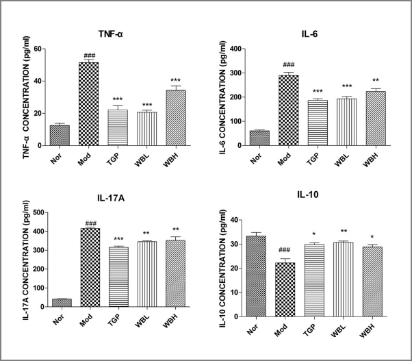
전 염증성 사이토카인(면역계 이상) - TNF-a, IL-6, IL-17A / IL-10; 한약은 염증물질을 줄일 수 있다.

이미지 3

관절의 염증, 피로감, 우울증, 식욕저하 등의 다양한 임상증상의 원인되는 대표적인 물질이 TNF-a, IL-16, IL-17입니다.

각각 표의 맨 왼쪽이 정상의 경우이고, 그 옆쪽은 류마티스 관절염 모델에서의 수치로 위 3가지 사이토카인의 수치는 정상보다 3-8배가량 높게 측정이 됩니다. 하지만 한약치료를 한 경우 이 염증 수치는 모두 의미 있는 정도로 감소하는데요. TGP, WBL, WBH 모두 개선의 효과가 관찰되었습니다.

한편 IL-10은 염증을 억제하는 사이토키인데, 정상보다 낮은 수준으로 관찰이 됩니다. 역시 한약치료한 그룹에서는 수치가 상승하여 정상치에 가까워졌음을 확인해볼 수 있습니다.

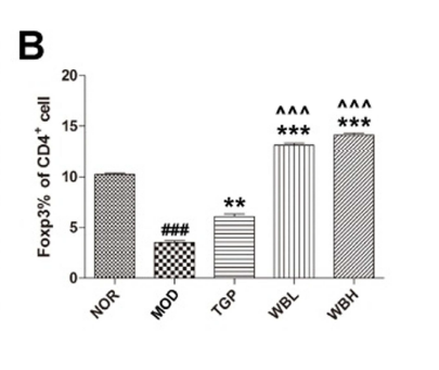
Regulatory T cell (Foxp3 CD4+CD25+ T cell); 한약은 자가면역성 염증을 억제하는 면역세포를 늘려준다.

이미지 4

Regulatory T cell은 naive T cell이 Foxp3라는 전사 인자에 의해서 분화되어 생성되기 때문에

Foxp3 CD4+CD25+ T cell이라고 부르기도 합니다. 이 세포는 나를 공격할 수 있는 T cell을 무력화 시키거나 세포자멸을 유도하여 자가면역성 염증을 억제해주는 역할을 하는데요, 역시 류마티스 관절염 모델에서는 그 정도가 절반 이하로 감소해 있음을 볼 수 있습니다. (두 번째 막대)

TGP를 복용하면 발현의 정도가 증가하지만 정상치에는 미치지 못하였는데요

WB를 복용하면 오히려 정상치보다 좀 더 늘어나는 놀라운 결과를 보였습니다.

파골세포 (Ctask, TRAP, MMP9) / 조골세포 (Runx2, RANKL, Osterix); 한약은 파골세포의 활성을 줄이고 조골 세포의 활성을 늘려 뼈 손상을 줄여준다.

  1. 파골세포 활성의 억제

이미지 5

파골세포에서 분비되는 효소 중 대표적인 것이 CtsK, TRAP, MMP9입니다. 위 수치는 이 세 효소를 전하사는 mRNA의 발현량을 측정해 본 것인데요.

세 가지 효소의 mRNA 모두 관절염 모델은 그 수치가 상당히 증가하지만

TGP 한약은 그 수치를 1/4수준까지 낮출 수 있었고, WB 역시 1/2 - 3/4 가까이 낮추는 효과를 보였습니다

이를 통해 파골세포가 뼈를 파괴하는 활성을 상당 수준으로 낮추 수 있음을 알 수 있었습니다.

  1. 조골세포 활성의 촉진

이미지 6

한편 뼈의 생성에 관여하는 조골 세포의 활성은 Runx2, RANKL, Osterix의 발현 정도를 통해 측정해볼 수 있습니다. 역시 류마티스 관절염 모델에서는 정상치를 상당히 벗어난 수치를 보였는데요.

Runx2 와 Osterix는 조골 세포의 활성에 관여하는 단백질이며, RANKL은 조골 세포에서 분비되지만, 네거티브 피드백으로 작용하여 파골세포의 분화를 촉진하는 역할을 하게 됩니다. 따라서 Runx2, Osterix는 높아져야 하고, RANKL은 낮아져야 그 의미가 있는데요, WB는 이 두 가지 방향에서 모두 의미 있는 개선 효과를 보였습니다. 하지만 TGP는 RANKL과 Runx2에는 작용하지 않았고, Osterix에는 약간의 개선을 보였네요.

이미지 7

위 연구에는 어려운 용어가 많이 등장했지만 논문의 결과를 요약해보면 아래와 같습니다.

한약은 자가면역질환을 억제하고 염증성 물질의 생성을 감소시킬 수 있는데, 류마티스 관절염에서는 뼈의 손상과 변형에 직접 영향을 주는 면역세포의 밸런스를 조절하여 뼈 손상을 막아주는 기전으로 관절염의 정도를 개선할 수 있다

인천 연수구 송도 신도시 이레 한의원은 쇼그렌증후군 루푸스 베체트병 류마티스 관절염 등의 전신성 자가면역질환을 주로 다루고 있습니다. 지금 언급한 4가지 질환 이외에도 셀리악병 건선 등의 많은 자가면역질환에 관절염의 증상이 동반될 수 있고, 이는 삶의 질을 매우 떨어트리는 주요 증상이기도 합니다.

MTX , 소론도, 할록신, 소염진통제도 그리고 다양한 생물학적 제제도 좋은 치료 약이지만

부작용이 발생하여 더 이상 복용이 어렵거나, 그 효과가 충분하지 않을 때에는

한의학 치료가 도움이 될 수 있을 것입니다.

자가면역성 관절염에 대한 한의학적 치료 효과


자주 묻는 질문

Q1. 류마티스 관절염에서 관절이 변형되는 이유는 무엇인가요?

A1. 류마티스 관절염에서는 자가항체(주로 anti-CCP), 염증성 사이토카인(IL-1b, TNF-a, IL-17), RANKL 자극 등이 뼈를 파괴하는 파골세포(osteoclast)의 생성을 과도하게 촉진합니다. 동시에 뼈를 생성하는 조골세포(osteoblast)의 분화는 억제되어, 뼈의 항상성이 무너지고 관절과 연골에 점진적인 미란(erosion)이 발생하면서 관절의 모양이 변형되고 기능이 상실됩니다.

Q2. 한약은 류마티스 관절염 관절 손상에 어떤 효과가 있나요?

A2. 이 연구에서 한약(WB)은 관절염 증상 점수를 의미 있게 감소시켰으며, 그 효과는 고농도일 때 더 뚜렷했습니다. 치료하지 않은 그룹은 관절염 점수가 지속적으로 높은 상태를 유지했지만, 한약 투여군은 3주차부터 증상이 안정되는 양상을 보였습니다. 한약은 자가면역성 염증을 조절하면서 파골세포와 조골세포의 균형을 회복시키는 방향으로 작용합니다.

Q3. 류마티스 관절염 치료에서 한약과 양약을 병행할 수 있나요?

A3. 이 글의 70대 여성 사례처럼, MTX로 인한 폐질환이나 스테로이드 장기 복용에 따른 위염, 약인성 당뇨, 골다공증 등의 부작용으로 양약 사용이 어려운 경우에 한의학 치료가 좋은 대안이 될 수 있습니다. 한약 치료 1년 후 큰 불편함 없이 지내고 있는 이 사례는 염증과 통증 조절뿐 아니라 관절 보호를 위한 한의학적 접근의 가능성을 보여줍니다.

고민되는 증상이 있으신가요?

이레한의원에서 1:1 맞춤 상담을 받아보세요.

원장

환자의 건강한 삶을 위해 최선을 다해 진료합니다.

의료진 소개 더보기 →

함께 보면 좋은 문서

다음으로 보면 좋은 자료

현재 보고 있는 문서 류마티스 관절염 한약의 치료 효과는 어떻게

관련 주제와 진료 정보를 이어서 확인하면 이해가 더 빠릅니다.

가장 먼저 보면 좋은 문서 진료

쇼그렌증후군

쇼그렌증후군은 긴 호흡이 필요한 질환입니다. 오늘의 편안함을 되찾고, 내일의 건강을 지킬 수 있도록 당신의 곁에서 세심하게 치료하겠습니다.

프로그램 보기

관련된 다른 글