의료 감수: 박석민 한의사 (대표원장)
인천 류마티스 관절염에 대한 한약의 치료 효과
👨⚕️목차
쇼그렌 증후군
인천 류마티스 관절염에 대한 한약의 치료 효과
・
2016년 미국의 Mayland 의대 미생물면역학교실과 통합의학과 류마티스내과에서 흥미로운 논문을 출간하였습니다. 한약이 자가면역성관절 질환의 치료에 도움이 되는데, 어떤 면역학적인 기전으로 효과가 나타나는지 심층적인 분석을 해본 논문이었습니다.

류마티스 관절염 뿐 아니라, 루푸스 쇼그렌증후군과 같은 전신성 자가면역질환에 흔히 나타는 증상이 관절염, 관절통, 관절부종입니다. 이런 관절염에 현제 사용되고 있는 양약은 심각한 부작용이 동반될 수 있고, 비용 또한 높은 편이라고 합니다. (미국의 경우, 본문인용)
이번 연구에서는 관절염 치료에 많이 사용되고 있는 활락효령단에 대한 분석이 담겨 있습니다, 저자들은 2011년도의 연구에서 이미 활락효령단이 Chemokines과 matrix-deragding enzyme을 억제하는 기전을 통해서 관절염의 치료 효과를 낸다는 사실을 실험적으로 확인하였었고(Modified Huo-Luo-Xiao-Ling Dan Suppresses Adjuvant Arthritis by Inhibiting Chemokines andMatrix-Degrading Enzymes, Evidence-Based Complementary and Alternative Medicine Volume 2012, Article ID 589256, 8 pages) , 2012년 추가 연구를 통해서 활략효령단이 Bone remodeling에 관여하는 mediators를 조절함으로써 관절염으로 인한 뼈 손상을 예방할 수 있다는 기전을 확인하기도 하였습니다. (Chinese Herbal Formula Huo-Luo-Xiao-Ling Dan Protects against Bone Damage in Adjuvant Arthritis by Modulating the Mediators of Bone Remodeling, Evidence-Based Complementary and Alternative Medicine Volume 2013, Article ID 429606, 10 pages)
먼저 저자들의 2011년도 연구 논문부터 살펴보겠습니다.

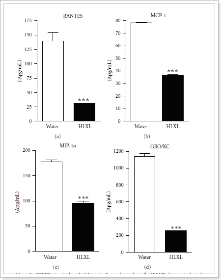
Chemokines은 염증 부위로 면역세포를 유도하는 역할을 합니다. 류마티스 관절염의 경우 활액막에 염증이 발생하는 경우가 많은데, MCP-1 등의 chemokines은 면역세포들이 혈관에서 활액막으로 나올 수 있는 신호가 되는 것입니다. 류마티스 관절염을 비롯한 자가면역성 관절질환에 중요하게 작용하는 chemokines은 CCL5로 알려진 RANTES, CCL2로 알려진 MCP-1, CCL3로 알려진, MIP-1a, CXCL1로 알려진 GRO/KC이 있습니다. 활락효령단(HLXL)은 이 4가지 키모카인의 농도를 억제할 수 있다는 것을 실험적으로 확인하였습니다. (아래 그림 참조)

MMPs는 zinc-dependent endopeptidases로 extracellylar matrix를 분해할 수 있는 일종의 효소입니다. 특히 MMP-2, MMP-9 는 관절 주변의 콜라겐을 분해하는 효과가 강한 편이기 때문에 관절질환에 중요하게 작용합니다. 이런 MMPs는 전염증성사이토카인인 IL-6, IL-17에 의해서 조절되는에, 이 사이토카인은 류마티스 관절염 환자의 활액 내에 높은 농도로 검출되기도 합니다. 그런데 한약은 이 사이토카인과 MMPs의 농도를 감소시켜 류마티스 관절염을 포함한 자가면역성 관절염 증상을 완화시킬 수 있다는 사실을 실험적으로 확인하였습니다.

이번에는 2012년도 논문의 주요 내용을 살펴보겠습니다.

손상된 뼈의 remodeling에 관여하는 조절인자들이 있습니다. 대표적인 물질이 receptor activator of nuclear factor kB ligand(RANKL), osteoprotegerin(OPG), granylocye-macrophage colony stimulating factor (GM-CSF), osteoponin(OPN), imsulin like growth factor(IGF) 입니다. 한약은 이 물질의 농도를 감소시켜 뼈의 손상을 막아줄 수고 류마티스 관절염과 자가면역성 관절염에 치료 효과가 있다는 실험적인 결과를 얻었습니다.
이러한 효과 이외에도
Th17의 농도를 줄이고 항염증 효과 있는 IL-10의 농도는 늘어나게 하며, 자기반응성 림프구를 탐식하는 Treg의 농도를 늘리는 효과도 확인하였습니다. 또한 류마티스 관절염에 관여하는 자가항체인 anti-CCP antibodies의 혈중 농도를 감소시키는 효과도 있었습니다. 이를 종합해보면 아래와 같습니다.
인천 연수구의 이레한의원에서는 쇼그렌증후군 관련 자가면역질환을 위주로 치료하고 있습니다. 류마티스 관절염, 쇼그렌증후군, 루푸스, 강직성척추염, 베체트병 등의 자가면역질환 환자분들은 관절통, 관절염, 관절 부종을 흔히 경험하고 있습니다. 한의학 고전에서는 류마티스관절염을 풍습성 관절염이라고 부르고, 거풍제습지통하는 한약으로 이를 치료하려고 하였습니다. 이런 처방을 현대적인 방법으로 분석해보니, 위와 같은 다양한 경로를 통해서 관절염을 치료할 수 있다는 것을 확인할 수 있었습니다. 관절염에 관한 양약 치료가 더 이상 어려우신 분들이라면 한의학의 도움을 받아보시길 바랍니다.
자가면역성 관절염에 관한 치료효과에 관련된 다른 글도 참고해주세요
http://
/dlfpomd/220336742265
자주 묻는 질문
Q1. 한약이 류마티스 관절염의 면역학적 기전에 어떻게 작용하나요?
A1. 미국 Mayland 의대 연구에서 한약이 자가면역성 관절 질환에서 Th17 세포 분화 억제, 조절 T세포(Treg) 기능 회복, 염증성 사이토카인(TNF-α, IL-6) 억제 등 다중 면역 조절 기전을 나타내는 것으로 분석되었습니다.
Q2. 류마티스 관절염 치료에 한약을 양약과 함께 사용할 수 있나요?
A2. 대부분의 경우 병용이 가능하며, MTX나 HCQ와 한약을 함께 사용하면 상호보완적 효과를 기대할 수 있습니다. 한약이 양약의 부작용(간독성 등)을 줄이면서 면역 조절 효과를 강화하는 연구 결과도 보고되어 있습니다.
Q3. 쇼그렌증후군과 류마티스 관절염이 함께 있을 때 한약 치료가 가능한가요?
A3. 네. 두 질환 모두 자가면역 기전이 공통이므로, 면역 균형 회복이라는 하나의 치료 목표로 통합 관리할 수 있습니다. 한약은 관절 염증과 건조 증상을 동시에 개선하는 접근이 가능합니다.